삼각함수 항등식 정리
Trigonometric
삼각함수의 기초
게임 프로그래밍에서 삼각함수는 기초라고 볼 수 있다. 회전과 같은 곳에서 많이 쓰이기 때문이다.
그래서 삼각함수의 기초가 되는 항등식 정리부터 다지고 가보려고 한다.
삼각함수의 기초로는 삼각함수의 주기성, 대칭성, 이동성, 덧셈 정리가 있다.
주기성

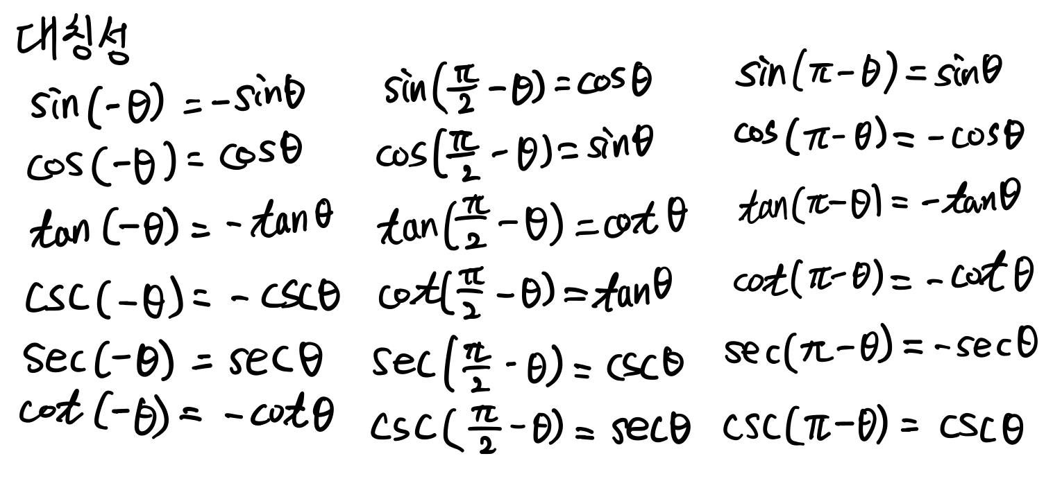
대칭성

이동성

주기성과 대칭성, 이동성은 삼각함수의 기초 중 기초라서 따로 증명은 하지 않고 넘어간다.
단위원이나 삼각함수의 그래프를 그리면서 보면 충분히 이해하고도 남을 것이다.
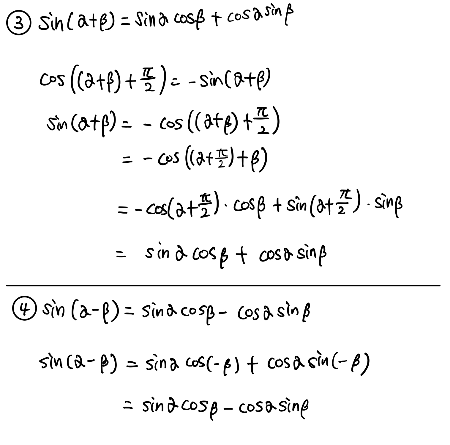
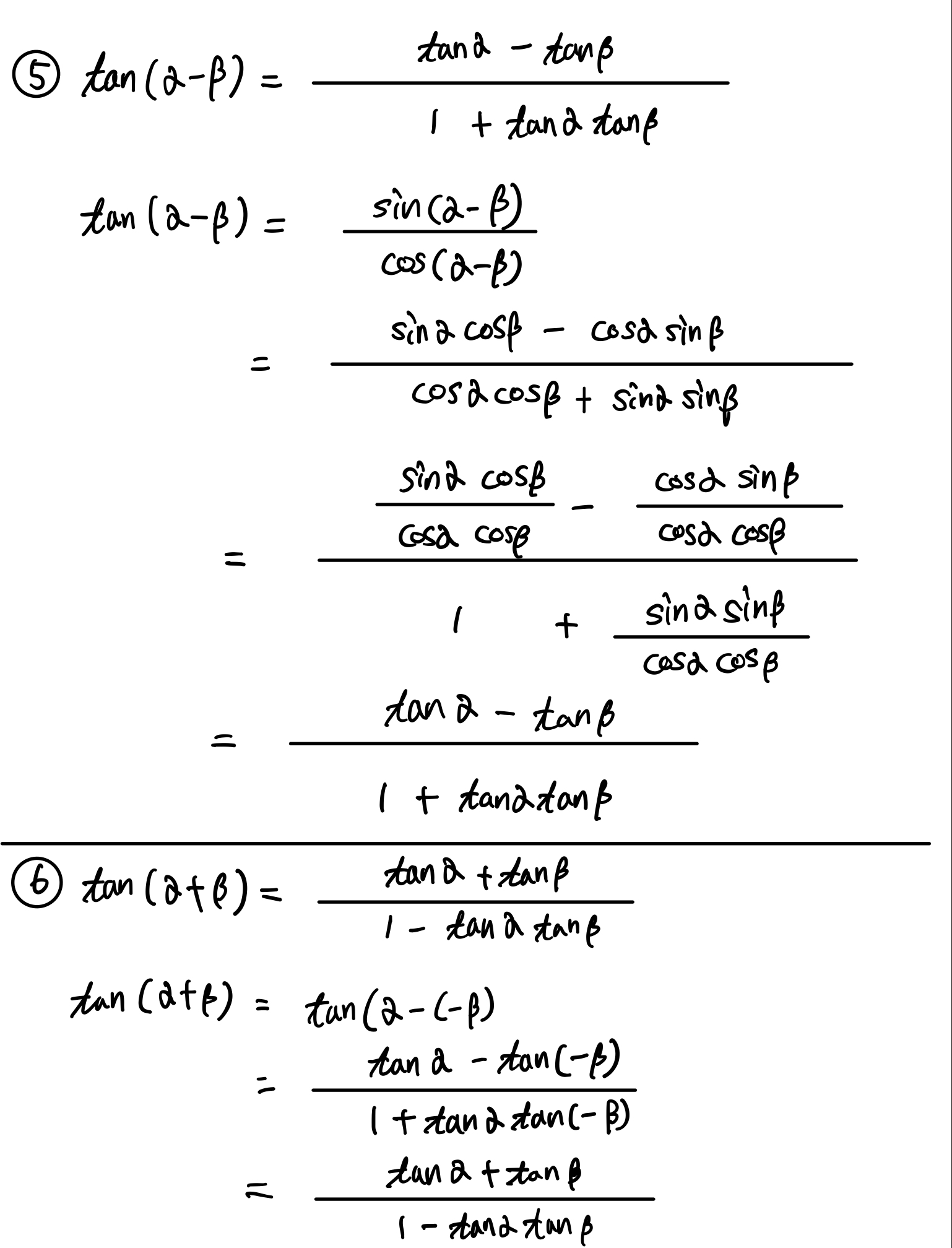
삼각함수의 덧셈정리
삼각함수의 덧셈 정리는 외우지 않았다는 전제 하에 한 번에 결과를 생각해내기 어렵기 때문에 증명을 통해 이해를 해봤다.
코사인 덧셈정리

사인 덧셈정리

탄젠트 덧셈정리

삼각함수 뿐만 아니라 다른 수학 공식들도 마찬가지로 증명을 직접 해보거나, 증명 과정을 따라 쓰다보면 이해하기 수월하다.
- 참고 : https://ko.wikipedia.org/wiki/%EC%82%BC%EA%B0%81%ED%95%A8%EC%88%98%ED%95%AD%EB%93%B1%EC%8B%9D